bat365在线中国官网登录入口
欢迎访问
学校主页
首页
学院概况
学院简介
现任领导
机构设置
师资队伍
专兼职教师
研究生导师
客座教授
思政课教学
本科生思政课
研究生思政课
实践教学
形势与政策
学科建设
一级硕士点
研究机构
科学研究
学术动态
研究生培养
培养方案
制度文件
学生活动
招生就业
招生信息
就业信息
党群工作
党建工作
团学风采
校友分会
工会之家
合作交流
对外交流
社会服务
理论园地
1
2
3
4
当前位置:
首页
·
招生就业
·
招生信息
· 正文
招生信息
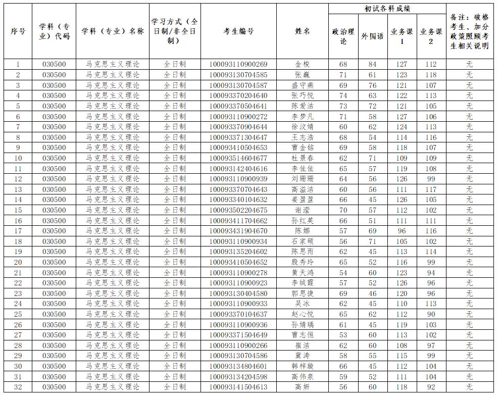
bat365在线中国官网登录入口2023年硕士研究生招生考试复试第一志愿考生名单
来源:
发布日期:2023/03/24
点击量:
bat365在线中国官网登录入口
2023年3月24日
版权所有:bat365(中国)在线平台官方网站-登录入口 电话010-88803302 京公网安备 110402430037 号